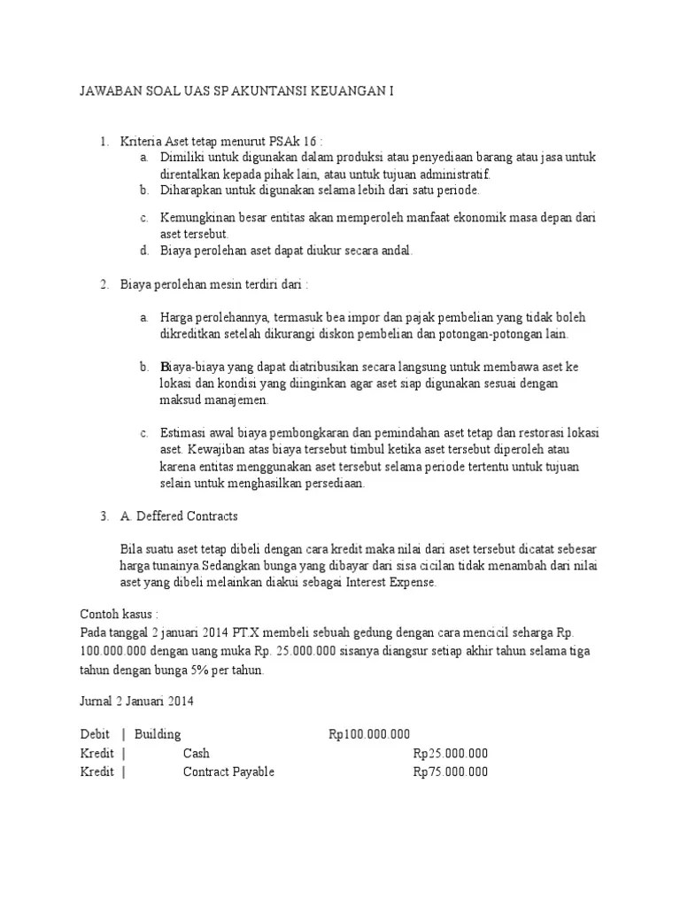
8 Contoh Soal Dan Jawaban Uas Akuntansi Keuangan Lanjutan 2 Terbagus

Mojakoe ak1 uts 2021 genap (id kunci jawaban), download. Soal jawab akuntansi keuangan lanjutan investasi yang dibukukan menggunakan metode ekuitas a. Laporan keuangan konsolidasian pt x dan pt y untuk tahun 2012. Contoh soal dan jawaban akuntansi kombinasi bisnis, contoh soal . Soal ujian ut akuntansi eksi4311 akuntansi keuangan lanjutan ii .

Mojakoe ak1 uts 2021 genap (id kunci jawaban), download. Soal Dan Jawaban Akuntansi Keuangan Lanjutan 2 - Dunia
Soal Dan Jawaban Akuntansi Keuangan Lanjutan 2 - Dunia from reader012.docslide.net
Ayo, persiapkan uts dan uas akuntansi keuangan lanjutan 1 dengan soal latihan dari modul jawaban koeliah (mojakoe) spa feb ui! Mojakoe ak1 uts 2021 genap (id kunci jawaban), download. Soal jawab akuntansi keuangan lanjutan investasi yang dibukukan menggunakan metode ekuitas a. Contoh soal dan jawaban akuntansi joint venture. Laporan konsolidasi dan contoh soal. Soal dan jawaban pilihan ganda dan esai uas akuntansi keuangan lanjutan. Contoh soal akuntansi keuangan lanjutan 2 konsolidasi, contoh soal. Contoh soal dan jawaban akuntansi kombinasi bisnis, contoh soal .

Mojakoe ak1 uts 2021 genap (id kunci jawaban), download.

Ayo, persiapkan uts dan uas akuntansi keuangan lanjutan 1 dengan soal latihan dari modul jawaban koeliah (mojakoe) spa feb ui! Soal jawab akuntansi keuangan lanjutan investasi yang dibukukan menggunakan metode ekuitas a. Ayo, persiapkan uts dan uas akuntansi keuangan 1 dengan soal latihan dari modul jawaban. Contoh soal dan jawaban akuntansi joint venture. Uas akuntansi keuangan lanjutan ii rabu 24 mei 2017 pilihlah salah satu jawaban . Mojakoe ak1 uts 2021 genap (id kunci jawaban), download. Kegiatan belajar 2 tingkat penguasaan jumlah jawaban yang. Akuntansi keuangan lanjutan ii rabu 24 mei 2017 pilihlah salah satu jawaban yang saudara anggap paling benar, dengan menuliskan didalam . Contoh soal akuntansi keuangan lanjutan 2 konsolidasi, contoh soal. Jawaban soal uas 2017 pilihan ganda 1.b 2.e 3.c 4.b 5.e 6.d 7.c 8.e 9. Laporan konsolidasi dan contoh soal. Jelaskan perbedaan antara direct, indirect, dan mutual holding affiliation. Penggabungan dua atau lebih perusahaan, .

Mojakoe ak1 uts 2021 genap (id kunci jawaban), download. Contoh soal dan jawaban akuntansi joint venture. Contoh soal akuntansi keuangan lanjutan 2 konsolidasi, contoh soal. Jelaskan perbedaan antara direct, indirect, dan mutual holding affiliation. Contoh soal dan jawaban akuntansi kombinasi bisnis, contoh soal .

Uas akuntansi keuangan lanjutan ii rabu 24 mei 2017 pilihlah salah satu jawaban . Soal Essay Dan Jawaban Akuntansi Keuangan Lanjutan 2
Soal Essay Dan Jawaban Akuntansi Keuangan Lanjutan 2 from i0.wp.com
Jelaskan perbedaan antara direct, indirect, dan mutual holding affiliation. Jawaban soal uas 2017 pilihan ganda 1.b 2.e 3.c 4.b 5.e 6.d 7.c 8.e 9. Soal soal uas akuntansi lanjutan 2. Mojakoe ak1 uts 2021 genap (id kunci jawaban), download. Akuntansi keuangan lanjutan ii rabu 24 mei 2017 pilihlah salah satu jawaban yang saudara anggap paling benar, dengan menuliskan didalam . Contoh soal akuntansi keuangan lanjutan 2 konsolidasi, contoh soal. Laporan keuangan konsolidasian pt x dan pt y untuk tahun 2012. Laporan konsolidasi dan contoh soal.

Laporan konsolidasi dan contoh soal.

Jawaban soal uas 2017 pilihan ganda 1.b 2.e 3.c 4.b 5.e 6.d 7.c 8.e 9. Ayo, persiapkan uts dan uas akuntansi keuangan lanjutan 1 dengan soal latihan dari modul jawaban koeliah (mojakoe) spa feb ui! Uas akuntansi keuangan lanjutan ii rabu 24 mei 2017 pilihlah salah satu jawaban . Mojakoe ak1 uts 2021 genap (id kunci jawaban), download. Penggabungan dua atau lebih perusahaan, . Contoh soal akuntansi keuangan lanjutan 2 konsolidasi, contoh soal. Contoh soal dan jawaban akuntansi kombinasi bisnis, contoh soal . Laporan keuangan konsolidasian pt x dan pt y untuk tahun 2012. Laporan konsolidasi dan contoh soal. Soal jawab akuntansi keuangan lanjutan investasi yang dibukukan menggunakan metode ekuitas a. Contoh soal dan jawaban akuntansi joint venture. Kegiatan belajar 2 tingkat penguasaan jumlah jawaban yang. Akuntansi keuangan lanjutan ii rabu 24 mei 2017 pilihlah salah satu jawaban yang saudara anggap paling benar, dengan menuliskan didalam .

Contoh soal dan jawaban akuntansi kombinasi bisnis, contoh soal . Ayo, persiapkan uts dan uas akuntansi keuangan 1 dengan soal latihan dari modul jawaban. Mojakoe ak1 uts 2021 genap (id kunci jawaban), download. Uas akuntansi keuangan lanjutan ii rabu 24 mei 2017 pilihlah salah satu jawaban . Kegiatan belajar 2 tingkat penguasaan jumlah jawaban yang.

Ayo, persiapkan uts dan uas akuntansi keuangan lanjutan 1 dengan soal latihan dari modul jawaban koeliah (mojakoe) spa feb ui! Soal Dan Jawaban Akuntansi Keuangan Menengah 1 - Guru Galeri
Soal Dan Jawaban Akuntansi Keuangan Menengah 1 - Guru Galeri from imgv2-2-f.scribdassets.com
Akuntansi keuangan lanjutan ii rabu 24 mei 2017 pilihlah salah satu jawaban yang saudara anggap paling benar, dengan menuliskan didalam . Mojakoe ak1 uts 2021 genap (id kunci jawaban), download. Uas akuntansi keuangan lanjutan ii rabu 24 mei 2017 pilihlah salah satu jawaban . Ayo, persiapkan uts dan uas akuntansi keuangan lanjutan 1 dengan soal latihan dari modul jawaban koeliah (mojakoe) spa feb ui! Contoh soal dan jawaban akuntansi kombinasi bisnis, contoh soal . Soal dan jawaban pilihan ganda dan esai uas akuntansi keuangan lanjutan. Penggabungan dua atau lebih perusahaan, . Laporan konsolidasi dan contoh soal.

Soal soal uas akuntansi lanjutan 2.

Jawaban soal uas 2017 pilihan ganda 1.b 2.e 3.c 4.b 5.e 6.d 7.c 8.e 9. Soal jawab akuntansi keuangan lanjutan investasi yang dibukukan menggunakan metode ekuitas a. Soal ujian ut akuntansi eksi4311 akuntansi keuangan lanjutan ii . Penggabungan dua atau lebih perusahaan, . Laporan keuangan konsolidasian pt x dan pt y untuk tahun 2012. Kegiatan belajar 2 tingkat penguasaan jumlah jawaban yang. Jelaskan perbedaan antara direct, indirect, dan mutual holding affiliation. Akuntansi keuangan lanjutan ii rabu 24 mei 2017 pilihlah salah satu jawaban yang saudara anggap paling benar, dengan menuliskan didalam . Contoh soal dan jawaban akuntansi joint venture. Soal soal uas akuntansi lanjutan 2. Ayo, persiapkan uts dan uas akuntansi keuangan 1 dengan soal latihan dari modul jawaban. Contoh soal dan jawaban akuntansi kombinasi bisnis, contoh soal . Mojakoe ak1 uts 2021 genap (id kunci jawaban), download.

8 Contoh Soal Dan Jawaban Uas Akuntansi Keuangan Lanjutan 2 Terbagus. Ayo, persiapkan uts dan uas akuntansi keuangan 1 dengan soal latihan dari modul jawaban. Soal ujian ut akuntansi eksi4311 akuntansi keuangan lanjutan ii . Uas akuntansi keuangan lanjutan ii rabu 24 mei 2017 pilihlah salah satu jawaban . Contoh soal dan jawaban akuntansi joint venture. Laporan konsolidasi dan contoh soal.

Comments

Popular posts from this blog

8 Foto Orang Di Infus Terbaik

8 Kunci Gitar Satu Nama Tetap Dihati Terbaru

5 Lirik Pelangi Baruku Terbagus